Anfügen eines Blossbogens an den letzten Punkt des letzten Achselements
Checkboxes: Radius setzen am Anfang/Ende
Auswahl, ob der Kreisbogen (Radius) am Anfang oder am Ende des Blossbogens definiert werden soll
Radius Anfang / Radius Ende
Radius des Kreisbogens am Übergangsbogen-Anfang bzw. Übergangsbogen-Ende
Länge
Gesamtlänge des Übergangsbogens
Globale Endstation
Gesamtlänge des Übergangsbogens definiert über die globale Endstation bezogen auf die Stationierung der Achse
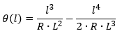
Der Blossbogen wird mathematisch wie folgt beschrieben:
Auslenkwinkel:

bzw. Krümmung:

wobei:
| (C) ALLPLAN GmbH | Datenschutzbestimmungen |