Add a Bloss spiral to the last point of the last axis element.
Checkboxes: Define Radius at Begin/End
Select, if the arc (radius) should be defined at the begin and/or at the end of the Bloss spiral
Radius Begin / Radius End
Radius of the arc at the begin/end of the spiral
Note: The input of two radii with different signs is not possible.
Length
Total length of the spiral
Global end station
Total length of the spiral defined by the global end station related to the stationing of the axis
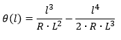
The Bloss spiral is mathematically described as follows:
Deflection angle:

and curvature:

where
|
(C) ALLPLAN GmbH |
Privacy policy |