Añadir una espiral de Bloss al último punto del último elemento del eje.
Casillas de verificación: Define el radio al inicio/final
Selecciona si el arco (radio) debería estar definir al inicio y/o al final de la espiral de Bloss
Radio inicial/ Radio final
Radio del arco al inicio/final de la espiral
Nota: No es posible introducir dos radios con diferentes signos.
Longitud
Longitud total de la espiral
Estación global final
La longitud total de la espiral definida mediante la estación global final relativa al estacionamiento del eje.
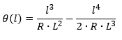
La espiral de Bloss se describe matemáticamente de la siguiente manera:
Ángulo de desviación

y curvatura:

donde
|
(C) ALLPLAN GmbH |
Política de privacidad |