Blossbogen
Anfügen eines Blossbogens an den letzten Punkt des letzten Achselements
Checkboxes: Radius setzen am Anfang/Ende
Auswahl, ob der Kreisbogen (Radius) am Anfang und/oder am Ende des Blossbogens definiert werden soll
Radius Anfang / Radius Ende
Radius des Kreisbogens am Übergangsbogen-Anfang bzw. Übergangsbogen-Ende
Hinweis: Die Eingabe zweier Radien mit unterschiedlichem Vorzeichen ist nicht möglich.
Länge
Gesamtlänge des Übergangsbogens
Globale Endstation
Gesamtlänge des Übergangsbogens definiert über die globale Endstation bezogen auf die Stationierung der Achse
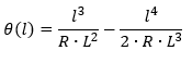
Der Blossbogen wird mathematisch wie folgt beschrieben:
Auslenkwinkel:
bzw. Krümmung:
wobei:
- l = Länge des Übergangsbogenabschnitts an der betrachteten Stelle l bezogen auf den Übergangsbogen-Anfang
- R = Radius des anschließenden Kreisbogens am Übergangsbogen-Ende
- L = Gesamtlänge des Übergangsbogens
